化学产品
分子筛
催化剂
溶剂
颜料中间体,颜料
塑料添加剂
石油钻井用
化妆品级
水处理
电子级
食品级
医药中间体
有机化工
洗涤原料
新材料
无机化工原料
中间体
聚氧化乙烯
电石
硫酸钡
羟乙基纤维素
有机硅
有机颜料
磷酸盐系列
陶瓷级
丙烯酸及其酯
抗菌除臭剂
橡胶促进剂
其他
金属制品
联系我们
 
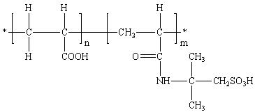
产品展示 位置:主页 >>产品展示 > AA/AMPS

AA/AMPS

AA/AMPS

产品编号: AA/AMPS

详细介绍:

Inquire Now ←[前一个产品:82%] [下一个产品:MA/AA]→
版权所有 © 2008--2026  互通国际贸易有限公司 . Designed By Kogin    Sitemap