Home  |  Bookmark   |  Sitemap

chemicals
zeolite
catalyst
solvent
pigment,intermediates
plastic additives
drilling fluids additives
Cosmetic ingredients
water treatment
electronic
food grade
Pharm intermediate
organic material
detergent materials
new materials
inorganical materials
intermediate
PEO
calcium carbide
barium sulphate
HEC
silicone monomers
organic pigments
phosphate series
ceramic,refractory
acrylic acid series
antimicrobial agent
rubber auxiliary
other
metal products
Contact Infomation
 
About Us Location:Home >> Products > TMCH(3M)     

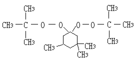
TMCH(3M)

TMCH(3M)

Item : 6731-36-8

Details :

TMCH(3M)
Chemical name: 1,1-Bis(t-butyl peroxy)-3,3,5-Tri Methyl Cyclo Hexane
TMCH-90 is a low volatility, yellowish liquid, peroxyketals initiator, effective for the polymerization of styrene and cross linking of elastomers, and used as heat curing agent of unsaturated polyester.

Safety Data 
Flash point………………………………46℃
SADT ……………60℃
Tem………………………55℃
UN-No(90%)……………3101
CN-No ………52011


Properties
State…………………………………Liquid
Density()…………………………~0.9
Melting point………………………………-40℃
Theoretical Active Oxygen………………10.58%

Specification
Appearance…………colorless to slightly yellow Liquid.
Assay………………………………Min.90%
Colour…………………………………Max.60Hazen
Fe………………………………Max.0.0003%
Diluents………………………iso dodecane/mineral oil/ethyl benzene


 
Inquire Now [Next1068-27-5] [Previous3006-86-8]
CaC2 | PEO | ZPC | BaSO4 | HEC | SAP | NaOH | PCE | TCE | MEA | ECH | GMS | HMT | HNO3 | ATBC | HMDS | TAED | ETHYL ACETATE | TiCl4 | TMPTO | H3PO3 | PG | BDO | DIPE | Butyl Acetate | Isopropyl Alcohol | lithium rod | DMDEE |
Copyright © 2008--2026  HUTONG GLOBAL CO.,LTD All Rights Reserved. Designed By Kogin    Sitemap